Violdelphin

Violdelphin
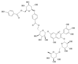
Chemical structure of violdelphin
Names
IUPAC name
[(2R,3S,4S,5R,6S)-3,4,5-trihydroxy-6-[4-[[(2R,3S,4S,5R,6S)-3,4,5-trihydroxy-6-[5-hydroxy-2-(3,4,5-trihydroxyphenyl)-3-[(2S,3R,4S,5S,6R)-3,4,5-trihydroxy-6-[[(2R,3R,4R,5R,6S)-3,4,5-trihydroxy-6-methyloxan-2-yl]oxymethyl]oxan-2-yl]oxychromenylium-7-yl]oxyoxan-2-yl]methoxycarbonyl]phenoxy]oxan-2-yl]methyl 4-hydroxybenzoate
Other names
Delphinidin 3-rutinoside-7-O-(6-O-(4-(6-O-(4-hydroxybenzoyl)-beta-D-glucosyl)oxybenzoyl)-beta-D-glucoside)
Identifiers
126417-59-2
3D model (Jmol) Interactive image
ChemSpider 2340380
PubChem 3083066
Properties
C53H59O30+
Molar mass 1176.02 g/mol
Except where otherwise noted, data are given for materials in their standard state (at 25 °C [77 °F], 100 kPa).
Infobox references

Violdelphin is an anthocyanin, a type of plant pigments, found in the purplish blue flower of Aconitum chinense,[1] in the blue flowers in the genus Campanula[2] and in the blue flowers of Delphinium hybridum.[3] It is a molecule incorporating two p-hydroxy benzoic acid residues, one rutinoside and two glucosides associated with a delphinidin.

References

  1. The anthocyanin responsible for purplish blue flower colour of Aconitum chinense. Kosaku Takeda, Syuji Sato, Hiromitsu Kobayashi, Yoko Kanaitsuka, Mariko Ueno, Takeshi Kinoshita, Hiroyuki Tazaki and Takane Fujimori, Phytochemistry, June 1994, Volume 36, Issue 3, Pages 613–616, doi:10.1016/S0031-9422(00)89784-8
  2. Structure and biosynthesis of anthocyanins in flowers of Campanula. Kirsten Brandt, Tadao Kondo, Hideki Aoki and Toshio Goto, Phytochemistry, 29 April 1993, Volume 33, Issue 1, Pages 209–212, doi:10.1016/0031-9422(93)85424-P
  3. Structure of Violdelphin, an Anthocyanin from Violet Flower of Delphinium hybridum. Tadao Kondo, Kaori Oki, Kumi Yoshida and Toshio Goto, Chemistry Letters,1990, Vol. 19, No. 1, pages 137-138, doi:10.1246/cl.1990.137
This article is issued from Wikipedia - version of the 7/7/2015. The text is available under the Creative Commons Attribution/Share Alike but additional terms may apply for the media files.