Singular perturbation
In mathematics, a singular perturbation problem is a problem containing a small parameter that cannot be approximated by setting the parameter value to zero. More precisely, the solution cannot be uniformly approximated by an asymptotic expansion
as
. Here
is the small parameter of the problem and
are a sequence of functions of
of increasing order, such as
. This is in contrast to regular perturbation problems, for which a uniform approximation of this form can be obtained. Singularly perturbed problems are generally characterized by dynamics operating on multiple scales. Several classes of singular perturbations are outlined below.
Methods of analysis
A perturbed problem whose solution can be approximated on the whole problem domain, whether space or time, by a single asymptotic expansion has a regular perturbation. Most often in applications, an acceptable approximation to a regularly perturbed problem is found by simply replacing the small parameter
by zero everywhere in the problem statement. This corresponds to taking only the first term of the expansion, yielding an approximation that converges, perhaps slowly, to the true solution as
decreases. The solution to a singularly perturbed problem cannot be approximated in this way: As seen in the examples below, a singular perturbation generally occurs when a problem's small parameter multiplies its highest operator. Thus naively taking the parameter to be zero changes the very nature of the problem. In the case of differential equations, boundary conditions cannot be satisfied; in algebraic equations, the possible number of solutions is decreased.
Singular perturbation theory is a rich and ongoing area of exploration for mathematicians, physicists, and other researchers. The methods used to tackle problems in this field are many. The more basic of these include the method of matched asymptotic expansions and WKB approximation for spatial problems, and in time, the Poincaré-Lindstedt method, the method of multiple scales and periodic averaging.
For books on singular perturbation in ODE and PDE's, see for example Holmes, Introduction to Perturbation Methods,[1] Hinch, Perturbation methods[2] or Bender and Orszag, Advanced Mathematical Methods for Scientists and Engineers.[3]
Examples of singular perturbative problems
Each of the examples described below shows how a naive perturbation analysis, which assumes that the problem is regular instead of singular, will fail. Some show how the problem may be solved by more sophisticated singular methods.
Vanishing coefficients in ordinary differential equations
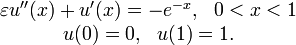
Differential equations that contain a small parameter that premultiplies the highest order term typically exhibit boundary layers, so that the solution evolves in two different scales. For example, consider the boundary value problem
Its solution when
is the solid curve shown below. Note that the solution changes rapidly near the origin. If we naively set
, we would get the solution labelled "outer" below which does not model the boundary layer, for which x is close to zero. For more details that show how to obtain the uniformly valid approximation, see method of matched asymptotic expansions.
.jpg)
Examples in time
An electrically driven robot manipulator can have slower mechanical dynamics and faster electrical dynamics, thus exhibiting two time scales. In such cases, we can divide the system into two subsystems, one corresponding to faster dynamics and other corresponding to slower dynamics, and then design controllers for each one of them separately. Through a singular perturbation technique, we can make these two subsystems independent of each other, thereby simplifying the control problem.
Consider a class of system described by following set of equations:
with
. The second equation indicates that the dynamics of
is much faster than that of
. A theorem due to Tikhonov[4] states that, with the correct conditions on the system, it will initially and very quickly approximate the solution to the equations
on some interval of time and that, as
decreases toward zero, the system will approach the solution more closely in that same interval.[5]
Examples in space
In fluid mechanics, the properties of a slightly viscous fluid are dramatically different outside and inside a narrow boundary layer. Thus the fluid exhibits multiple spatial scales.
Reaction-diffusion systems in which one reagent diffuses much more slowly than another can form spatial patterns marked by areas where a reagent exists, and areas where it does not, with sharp transitions between them. In ecology, predator-prey models such as
where
is the prey and
is the predator, have been shown to exhibit such patterns.[6]
Algebraic equations
Consider the problem of finding all roots of the polynomial
. In the limit
, this cubic degenerates into the quadratic
with roots at
.
Singular perturbation analysis suggests that the cubic has another root
. Indeed, with
, the roots are -0.955, 1.057, and 9.898. With
, the roots are -0.995, 1.005, and 99.990. With
, the roots are -0.9995, 1.0005, and 999.999.
In a sense, the problem has two different scales: two of the roots converge to finite numbers as
decreases, while the third becomes arbitrarily large.
References
- ↑ Holmes, Mark H. Introduction to Perturbation Methods. Springer, 1995. ISBN 978-0-387-94203-2
- ↑ Hinch, E. J. Perturbation methods. Cambridge University Press, 1991. ISBN 978-0-521-37897-0
- ↑ Bender, Carl M. and Orszag, Steven A. Advanced Mathematical Methods for Scientists and Engineers. Springer, 1999. ISBN 978-0-387-98931-0
- ↑ Tikhonov, A. N. (1952), Systems of differential equations containing a small parameter multiplying the derivative (in Russian), Mat. Sb. 31 (73), pp. 575-586
- ↑ Verhulst, Ferdinand. Methods and Applications of Singular Perturbations: Boundary Layers and Multiple Timescale Dynamics, Springer, 2005. ISBN 0-387-22966-3.
- ↑ Owen, M. R. and Lewis, M. A. How Predation can Slow, Stop, or Reverse a Prey Invasion, Bulletin of Mathematical Biology (2001) 63, 655-684.









