Dermatan sulfate

Dermatan sulfate
Clinical data
AHFS/Drugs.com International Drug Names
ATC code B01AX04 (WHO)
Identifiers
CAS Number 24967-94-0 YesY
ChemSpider none
ChEMBL CHEMBL1909290 N
ECHA InfoCard 100.042.305
Chemical and physical data
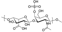
Formula C14H21NO15S2
Molar mass 507.43 g·mol−1
 NYesY (what is this?)  (verify)

Dermatan sulfate is a glycosaminoglycan (formerly called a mucopolysaccharide) found mostly in skin, but also in blood vessels, heart valves, tendons, and lungs.

It is also referred to as chondroitin sulfate B, [1] although it is no longer classified as a form of chondroitin sulfate by most sources. The formula is C14H21NO15S.

Function

Dermatan sulfate may have roles in coagulation, cardiovascular disease, carcinogenesis, infection, wound repair, and fibrosis.[2]

Pathology

Dermatan sulfate accumulates abnormally in several of the mucopolysaccharidosis disorders.

An excess of dermatan sulfate in the mitral valve is characteristic of myxomatous degeneration of the leaflets leading to redundancy of valve tissue and ultimately, mitral valve prolapse (into the left atrium) and insufficiency. This chronic prolapse occurs mainly in women over the age of 60, and can predispose the patient to mitral annular calcification. Mitral valve insufficiency can lead to eccentric (volume dependent or dilated) hypertrophy and eventually left heart failure if untreated.

See also

References

  1. Trowbridge, JM; Gallo, RL (September 2002). "Dermatan sulfate: new functions from an old glycosaminoglycan". Glycobiology. 12 (9): 117R–25R. doi:10.1093/glycob/cwf066. PMID 12213784.
  2. Janet M. Trowbridge and Richard L. Gallo (2002). "Dermatan sulfate: new functions from an old glycosaminoglycan". Glycobiology. 12 (9): 117R–125R. doi:10.1093/glycob/cwf066. PMID 12213784.
This article is issued from Wikipedia - version of the 9/17/2016. The text is available under the Creative Commons Attribution/Share Alike but additional terms may apply for the media files.